Biến đổi đơn giản căn thức bậc hai
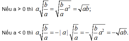
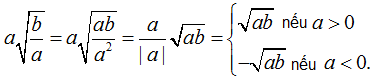
Kiến thức cần nhớ:

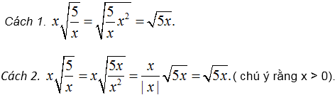
Ví dụ 7. Khử mẫu của các biểu thức sau:

a) Cách 1. Đưa thừa số a vào trong dấu căn.

Cách 2. Nhân tử và mẫu của biểu thức trong căn với a rồi đưa thừa số ra ngoài dấu căn.

b) Để căn thức có nghĩa, ta phải có x > 0.

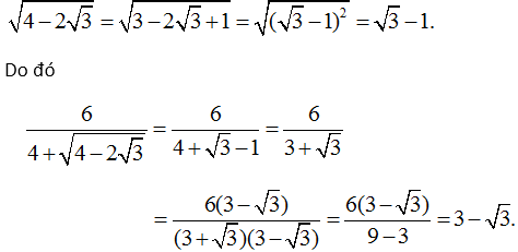
Ví dụ 8. Trục căn thức ở mẫu của biểu thức:

Giải
Rút gọn

BÀI TẬP
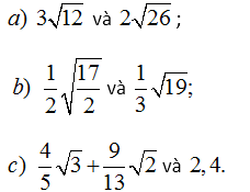
34. So sánh hai số sau, số nào lớn hơn?

35. Các hằng đẳng thức sau có đúng với mọi giá trị thích hợp của biến hay không?

36. Với giá trị nào của x, ta có:
![]()
37. Đưa thừa số vào trong dấu căn:

38. Chứng minh rằng:
![]()
39. Rút gọn các biểu thức:

40. Khử mẫu của biểu thức lấy căn:

41. T rục căn thức ở mẫu:

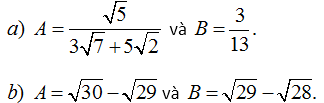
42. So sánh các số A và B, số nào lớn hơn?

43. Cho các biểu thức:

a) Tính giá trị của A.
b*) Chứng minh rằng B > 8.
