Rút gọn biểu thức có chứa căn thức bậc hai
Kiến thức cần nhớ:
Để rút gọn biểu thức có chứa các căn thức bậc hai, trước hết ta thường thực hiện các phép biến đổi đơn giản (đưa thừa số ra ngoài dấu căn, khử mẫu của biểu thức lấy căn, trục căn thức ở mẫu), sau đó thực hiện các phép tính (chú ý ước lược các căn thức có cùng một biểu thức lấy căn).
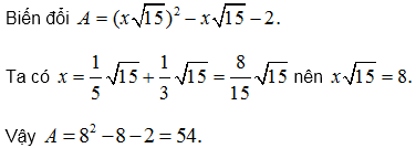
Ví dụ 9. Tính giá trị của biểu thức 
Giải

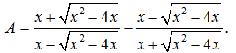
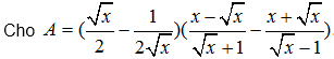
Ví dụ 10. Cho biểu thức

a) Tìm điều kiện của x để biểu thức A có nghĩa.
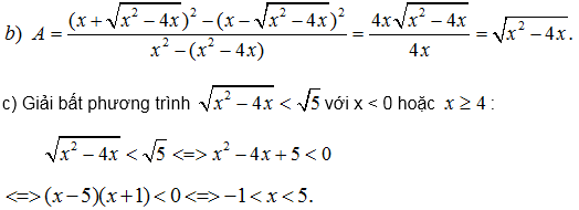
b) Rút gọn biểu thức A.
c) Tìm giá trị của x để A < .
Giải
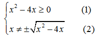
a) Điều kiện để A có nghĩa là:

Giải (1) ta được x ≤ 0 hoặc x ≥ 4.
Giải (2) xét:

![]()
Vậy điều kiện để A có nghĩa là x < 0 hoặc x ≥ 4.

Kết hợp điều kiện trên, ta có giá trị của x để A < là -1 < x < 0 hoặc 4 ≤ x < 5.
BÀI TẬP
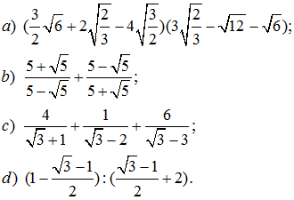
44. Thực hiện phép tính:

45. Thực hiện phép tính:

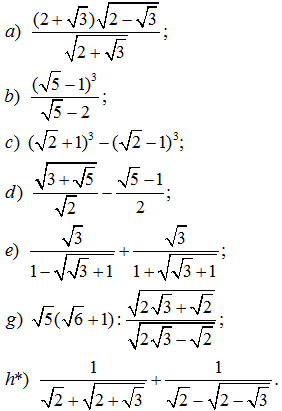
46. Rút gọn biểu thức:

47. Dùng phương pháp “hữu tỉ hóa” (đặt = a,
= b) để rút gọn biểu thức sau:

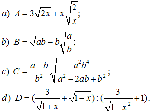
48.

a) Rút gọn biểu thức A;
b) Tìm giá trị của x để A > -6.
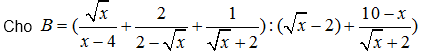
49.

a) Rút gọn biểu thức B;
b) Tìm giá trị của x để B > 0.
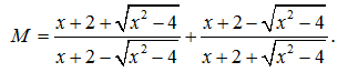
50.

a) Rút gọn biểu thức C;
b) Ch ứng inh rằng C ≤ 1.
51. Rút gọn biểu thức:

52. Tính giá trị của biểu thức:

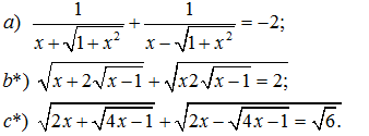
53. Giải các phương trình:

