Ôn tập cuối năm – Bồi dưỡng Đại số 9

ÔN TẬP CUỐI NĂM ĐẠI SỐ 9

Ví dụ 39. Giải phương trình:

$2 x^{4}+3 x^{2}-(m+1)=0$        (1)

a)  Giải phương trình (1) với m = 4 ;

b)  Tìm giá trị của m để phương trình (1) có nghiệm ;

c)  Với giá trị của m nêu trong câu b, phương trình (1) có bao nhiêu nghiệm ?

Giải

Ôn tập cuối năm – Bồi dưỡng Đại số 9

Do đó phương trình (1) có nghiệm duy nhất x = 0.

Với m > -1 thì P < 0, phương trình (2) có một nghiệm dương, một nghiệm âm, do đó phương trình (1) có hai nghiệm đối nhau.

     Chú ý

Cách khác để giải câu b : Biểu thị nghiệm của (2) theo m :

Ôn tập cuối năm – Bồi dưỡng Đại số 9

Ví dụ 40.

a)  Chứng minh định lí về dấu của tam thức bậc hai :

Cho tam thức bậc hai f(x) = ax^{2}   bx c (a ≠ 0). Chứng minh rằng :

–    Nếu Δ < 0 thì f(x) cùng dấu với a với mọi x.

–    Nếu Δ = 0 thì f(x) cùng dấu với a với mọi x ≠ -frac{b}{2a} .

–   Nếu Δ > 0 thì tam thức trái dấu với a với các giá trị của x ở trong khoảng hai nghiệm, cùng dấu với a với các giá trị của x ở ngoài khoảng hai nghiệm.

b) Áp dụng định lí về dấu của tam thức bậc hai để giải các bất phương trình sau :

i)  x^{2}  – 5x 6 > 0 ;              ii) 5x^{2}  – 8x – 4 < 0 ;               iii) -3x^{2}   2x – 4 > 0.

c) Áp dụng định lí về dấu của tam thức bậc hai để tìm các giá trị của m sao cho các phương trình sau có nghiệm :

i)  (m 1)x^{2}   4x 2m = 0 ;                  ii) (m   – 5)x^{2}  –  4mx  (m  – 2) = 0.

Giải

Ôn tập cuối năm – Bồi dưỡng Đại số 9

Ôn tập cuối năm – Bồi dưỡng Đại số 9

Ôn tập cuối năm – Bồi dưỡng Đại số 9

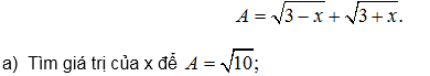
Ví dụ 41. Tìm các giá trị của x để các biểu thức sau có nghĩa:

Ôn tập cuối năm – Bồi dưỡng Đại số 9

Điều kiện để biểu thức có nghĩa : -x^{2}   12x – 35 >0.

Tam thức -x^{2}   12x – 35 có hai nghiêm : x_{1} = 5, x_{2}  = 7.

Ta có a = -1 <0 nên để tam thức dương, tức là trái  dấu với a, ta phải có 5 < x <7.

Các giá trị của x để biểu thức    có nghĩa 5 < x< 7.

b)   Điều kiện để biểu thức có nghĩa 6x – 10x 7≥ 0.

Ta có Δ’ = 25 – 42 < 0 nên tam thức luôn luôn cùng dấu với a, vì a = 6 > 0,

do đó 6x^{2}  – 10x 7 > 0 với mọi x.

Vậy biểu thức luôn luôn có nghĩa với mọi giá trị của x.

Ví dụ 42. Cho

4a^{2}  b^{2} = 5ab.

a) Tính b theo a;

Ôn tập cuối năm – Bồi dưỡng Đại số 9

Giải

Ôn tập cuối năm – Bồi dưỡng Đại số 9

Ví dụ 43. Tìm giá trị nhỏ nhất, giá trị lớn nhất của biểu thức

Ôn tập cuối năm – Bồi dưỡng Đại số 9

Giải

Biểu thức A xác định với mọi giá trị của x. Gọi y là giá trị của biểu thức A, ta có

Ôn tập cuối năm – Bồi dưỡng Đại số 9

Ôn tập cuối năm – Bồi dưỡng Đại số 9

BÀI TẬP

223. Giải và biện luận phương trình sau theo m:

$(m+1) x^{2}-(m-1) x-2 m=0$

224. Tìm giá trị của m và các nghiệm của phương trình sau biết rằng một trong các nghiệm của phương trình bằng 2 :

$2 x^{3}-\left(m^{2}+3 m+11\right) x^{2}+7 x+\left(m^{2}+3 m+8\right)=0$

225. Tìm giá trị của m để các nghiệm x_{1} x_{2}  của phương trình

$x^{2}-m x+(m+2)=0$ thỏa mãn diều kiện $x_{1}=x_{2}^{2}$

226. Cho phương trình

Ôn tập cuối năm – Bồi dưỡng Đại số 9

227. Cho phương trình

$x^{2}-2(m-3) x-2(m-1)=0$

a)  Chứng minh rằng phương trình có nghiệm với mọi giá trị của m.

b) Chứng minh rằng phương trình không thể có nghiêm -1.

c)  Biểu thức x_{1} theo x_{2} .

228. Cho các phương trình :

Ôn tập cuối năm – Bồi dưỡng Đại số 9

Tìm giá trị của m để hai phương trình trên có ít nhất một nghiệm chung. Tìm nghiệm chung đó.

229. Tìm giá trị của m để phương trình sau có ít nhất một nghiệm dương

$x^{2}-2(m+2) x+\left(m^{2}+2 m-3\right)=0$

230. Tìm giá trị của m để phương trình sau có nghiệm

$x^{4}-3 x^{2}+(m-1)=0$

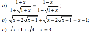
231. Giải các phương trình

Ôn tập cuối năm – Bồi dưỡng Đại số 9

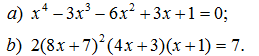
232.  Giải các phương trình

 Ôn tập cuối năm – Bồi dưỡng Đại số 9

 Ôn tập cuối năm – Bồi dưỡng Đại số 9

234. Cho phương trình

Ôn tập cuối năm – Bồi dưỡng Đại số 9

235. Tìm điều kiện để các biểu thức sau có nghĩa :

Ôn tập cuối năm – Bồi dưỡng Đại số 9

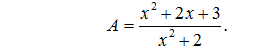
236. Cho biểu thức

Ôn tập cuối năm – Bồi dưỡng Đại số 9

b)  Tìm giá trị của x  để A có giá trị nhỏ nhất, giá trị lớn nhất.

237.  Cho biểu thức y = |x – 1| |x – 3|.

a) Tìm giá trị nhỏ nhất của y ;

b) Vẽ đồ thị của hàm số y = |x – 1| |x – 3| rồi dùng đồ thị để tìm giá trị nhỏ nhất của y.

238.  Cho biểu thức

Ôn tập cuối năm – Bồi dưỡng Đại số 9

a) Tính giá trị của A với x = 3 ;

b) Tìm x để A = 4 ;

c) Tìm giá trị nhỏ nhất của A.

239. Cho phương trình

$x^{2}+\left(m^{2}-2 m+5\right) x-3=0$

Tìm giá trị lớn nhất của tổng hai nghiệm của phương trình.

240. Cho phương trình

Ôn tập cuối năm – Bồi dưỡng Đại số 9

241. Tìm giá trị nhỏ nhất của biểu thức

Ôn tập cuối năm – Bồi dưỡng Đại số 9

Ôn tập cuối năm – Bồi dưỡng Đại số 9

243. Tìm giá trị nhỏ nhất, giá trị lớn nhất của các biểu thức:

Ôn tập cuối năm – Bồi dưỡng Đại số 9

244.  Hai người cùng khởi hành một lúc từ A và B cách nhau 140km, đi về phía nhau. Họ gặp nhau ở C sau 2 giờ. Sau khi gặp nhau, người I đi tiếp đến B với vận tốc tăng hơn trước 5 km/h, người II đi tiếp đến A với vận tốc tăng hơn trước 10 km/h. Kết quả là người I đến B trước lúc người II đến A là 40  phút. Tính vận tốc của mỗi người lúc đầu.

245. Trong cùng một thời gian như nhau, hai công nhân theo thứ tự phải làm 270 dụng cụ và 300 dụng cụ. Mỗi ngày người II làm nhiều hơn người I là 4 dụng cụ nên người I hoàn thành công việc trước thời hạn 3 ngày, còn người II hoàn thành trước thời hạn 4 ngày. Tính số dụng cụ mỗi người đã làm trong một ngày.

246. Trên quãng đường AB dài 140 km, hai người cùng khởi hành một lúc từ A và từ B để gặp nhau. Sau khi gặp nhau, người I đi 1 giờ 30 phút nữa thì đến B, người II đi 2 giờ 40 phút nữa thì đến A. Tính xem chỗ gặp nhau cách A bao nhiêu ki-lô-mét ?

Trả lời

Email của bạn sẽ không được hiển thị công khai. Các trường bắt buộc được đánh dấu *