Liên hệ giữa phép nhân và phép khai phương

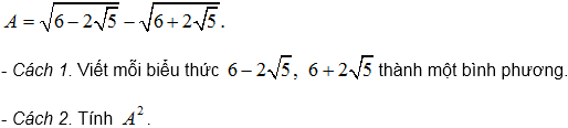
Ví dụ 5. Cho biểu thức:
Tính giá trị của biểu thức A bằng hai cách

Giải
– Cách 1. Biến đổi:

– Cách 2. Ta có:

BÀI TẬP
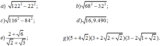
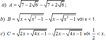
20. Tính giá trị các biểu thức:

![]()
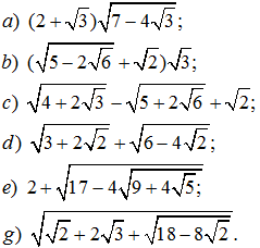
22. Rút gọn các biểu thức:

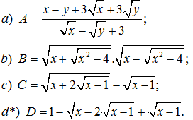
23. Rút gọn các biểu thức:

24.
Rút gọn rồi tìm giá trị của x để A = -1:
![]()
25. Rút gọn các biểu thức:

![]()
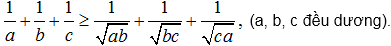
27. Cho các số không âm a và b. Chứng minh các bất đẳng thức sau và chỉ ra trường hợp xảy ra đẳng thức :

28. Chứng minh bất đẳng thức:

29. Chứng minh bất đẳng thức:
![]()
30. Chứng minh bất đẳng thức:
![]()
