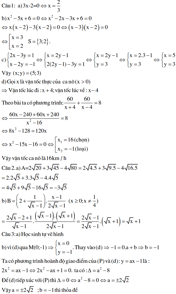
Đề thi Toán vào lớp 10 Bắc Kạn năm học 2018-2019 có đáp án Toán Cấp 2 19/11/2018 Đề thi, Đề thi Toán vào lớp 10 CommentsĐề thi tuyển sinh vào lớp 10 môn Toán tỉnh Bắc Kạn năm học 2018-2019Thời gian làm bài: 120 phút (không kể thời gian giao đề).Đề kiểm tra 15 phút – Đề 2 – Tính chất cơ bản của phân sốĐề kiểm tra 15 phút – Đề 1 – Tính chất cơ bản của phân sốĐề kiểm tra 15 phút Toán 6 – Đề số 8 – Mở rộng khái niệm phân số, phân số bằng nhauĐề kiểm tra 15 phút Toán 6 – Đề số 7 -Mở rộng khái niệm phân số, phân số bằng nhauĐề kiểm tra 15 phút Toán 6 – Đề số 6 – Mở rộng khái niệm phân số, phân số bằng nhauĐÁP ÁN ĐỀ TOÁN VÀO 10 BẮC CẠN 2018-2019Bài viết liên quanĐề thi Toán vào 10 THPT chuyên Khánh Hòa 2012-2013 có đáp ánĐề thi vào 10 môn Toán tỉnh Nam Định năm 2019-2020 có đáp ánĐề thi vào 10 môn Toán tỉnh Vĩnh Phúc năm 2019-2020Đề thi môn Toán vào lớp 10 THPT tỉnh Thái Bình năm 2019-2020Đề thi vào 10 môn Toán tỉnh Nghệ An năm 2019-2020← Bài trước đóBài tiếp theo →Trả lời HủyEmail của bạn sẽ không được hiển thị công khai. Các trường bắt buộc được đánh dấu *Bình luậnTên * Email * Trang web