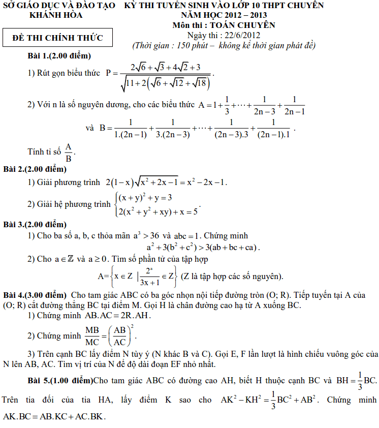
Đề thi Toán vào 10 THPT chuyên Khánh Hòa 2012-2013 có đáp án Toán Cấp 2 10/01/2020 Đề thi, Đề thi Toán vào lớp 10 CommentsĐề thi tuyển sinh vào lớp 10 môn thi Toán chuyên, trường THPT chuyên tỉnh Khánh Hòa, năm học 2012-2013. Thời gian làm bài 150 phút. Ngày thi 22/6/2012.Đáp án Đề thi Toán vào 10 THPT chuyên Khánh Hòa năm học 2012-2013:Đề kiểm tra 15 phút – Đề 2 – Tính chất cơ bản của phân sốĐề kiểm tra 15 phút – Đề 1 – Tính chất cơ bản của phân sốĐề kiểm tra 15 phút Toán 6 – Đề số 8 – Mở rộng khái niệm phân số, phân số bằng nhauĐề kiểm tra 15 phút Toán 6 – Đề số 7 -Mở rộng khái niệm phân số, phân số bằng nhauĐề kiểm tra 15 phút Toán 6 – Đề số 6 – Mở rộng khái niệm phân số, phân số bằng nhauBài viết liên quanĐề thi vào 10 môn Toán tỉnh Nam Định năm 2019-2020 có đáp ánĐề thi vào 10 môn Toán tỉnh Vĩnh Phúc năm 2019-2020Đề thi môn Toán vào lớp 10 THPT tỉnh Thái Bình năm 2019-2020Đề thi vào 10 môn Toán tỉnh Nghệ An năm 2019-2020Đề thi vào 10 môn Toán tỉnh Lạng Sơn năm 2019-2020← Bài trước đóBài tiếp theo →Trả lời HủyEmail của bạn sẽ không được hiển thị công khai. Các trường bắt buộc được đánh dấu *Bình luậnTên * Email * Trang web