Đề thi môn Toán tuyển sinh vào lớp 10 trường THPT chuyên Hà Nam năm học 2019-2020.
Có đề thi Toán chung và đề thi vào các lớp chuyên:
Đề thi chung (Thời gian làm bài 120 phút):

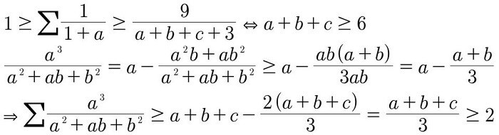
Gợi ý giải câu 5.

Có đề thi Toán chung và đề thi vào các lớp chuyên:

Gợi ý giải câu 5.
