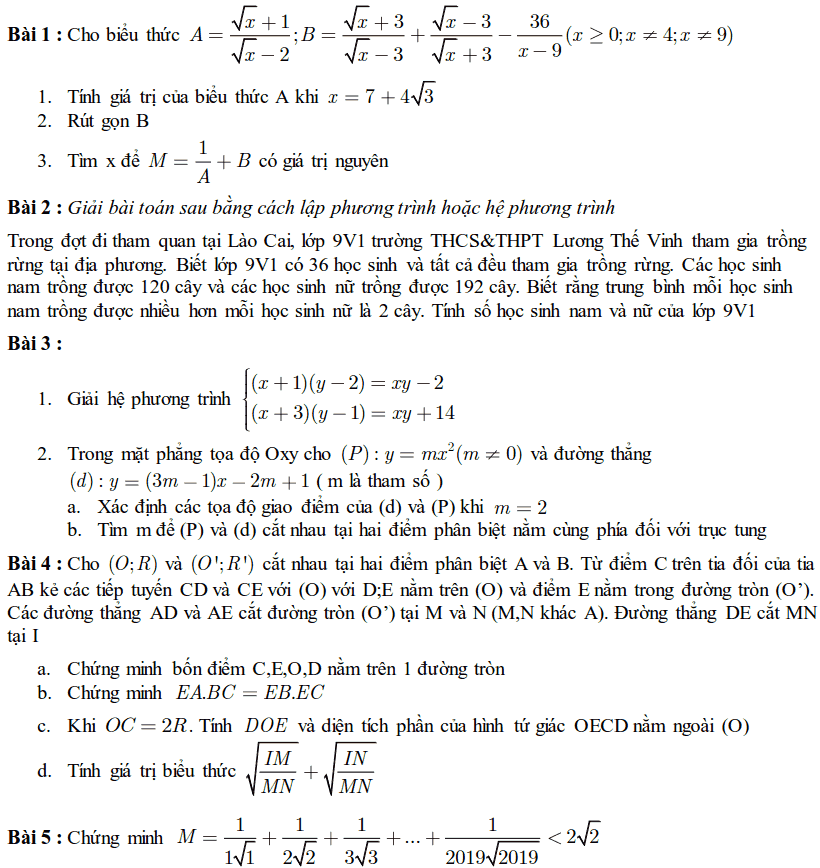
Đề thi HK2 môn Toán 9 THCS Lương Thế Vinh 2018-2019 Toán Cấp 2 04/04/2019 Đề kiểm tra, đề thi Toán 9, Đề thi CommentsĐề thi học kì 2 môn Toán lớp 9 trường THCS Lương Thế Vinh năm học 2018-2019. Đề chính thức.Đề kiểm tra 15 phút – Đề 2 – Tính chất cơ bản của phân sốĐề kiểm tra 15 phút – Đề 1 – Tính chất cơ bản của phân sốĐề kiểm tra 15 phút Toán 6 – Đề số 8 – Mở rộng khái niệm phân số, phân số bằng nhauĐề kiểm tra 15 phút Toán 6 – Đề số 7 -Mở rộng khái niệm phân số, phân số bằng nhauĐề kiểm tra 15 phút Toán 6 – Đề số 6 – Mở rộng khái niệm phân số, phân số bằng nhauBài viết liên quanĐề kiểm tra giữa HK1 môn Toán 6 THCS Lương Thế Vinh 2019-2020Đề KSCL đầu năm học Toán 9 THCS Lương Thế Vinh 2018-2019Đề KSCL đầu năm môn Toán 8 THCS Lương Thế Vinh 2018-2019Đề KSCL đầu năm học Toán 6 THCS Lương Thế Vinh 2014-2015Đề KSCL đầu năm học Toán 6 THCS Lương Thế Vinh 2018-2019← Bài trước đóBài tiếp theo →Trả lời HủyEmail của bạn sẽ không được hiển thị công khai. Các trường bắt buộc được đánh dấu *Bình luậnTên * Email * Trang web