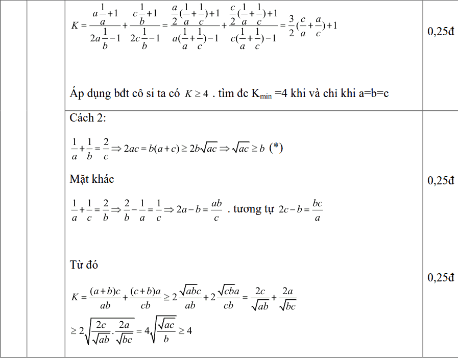
Đề thi HK2 môn Toán 9 quận Hoàn Kiếm năm 2018-2019 có lời giải Toán Cấp 2 20/04/2019 Đề kiểm tra, đề thi Toán 9, Đề thi CommentsĐề thi học kì 2 môn Toán lớp 9 quận Hoàn Kiếm, Hà Nội năm học 2018-2019. Thời gian làm bài: 90 phút. Ngày kiểm tra: 19/4/2019.Hướng dẫn giải đề kiểm tra HK2 môn Toán 9 quận Hoàn Kiếm năm 2018-2019:Đề kiểm tra 15 phút – Đề 2 – Tính chất cơ bản của phân sốĐề kiểm tra 15 phút – Đề 1 – Tính chất cơ bản của phân sốĐề kiểm tra 15 phút Toán 6 – Đề số 8 – Mở rộng khái niệm phân số, phân số bằng nhauĐề kiểm tra 15 phút Toán 6 – Đề số 7 -Mở rộng khái niệm phân số, phân số bằng nhauĐề kiểm tra 15 phút Toán 6 – Đề số 6 – Mở rộng khái niệm phân số, phân số bằng nhauBài viết liên quanĐề kiểm tra HK1 môn Toán 9 quận Hoàn Kiếm 2019-2020 có đáp ánĐề khảo sát câu lạc bộ HSG môn Toán 9 quận Hoàn Kiếm 2018-2019Đề kiểm tra HK2 môn Toán 6 huyện Kiến Thụy 2018-2019Đề kiểm tra chất lượng cuối năm môn Toán 6 tỉnh Bắc Ninh 2018-2019Đề KSCL học kỳ 2 môn Toán 6 TP Thái Bình 2018-2019← Bài trước đóBài tiếp theo →Trả lời HủyEmail của bạn sẽ không được hiển thị công khai. Các trường bắt buộc được đánh dấu *Bình luậnTên * Email * Trang web