Đề kiểm tra 15 phút Toán 6 – Đề số 2 -Mở rộng khái niệm phân số, phân số bằng nhau

Đề số 2 

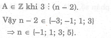
1.Cho biểu thức A = 3 / n – 2 ; n ∈ Z

2. Với đơn vị là giờ thì 15 phút được biểu thị bằng phân số nào?

3.Tìm số nguyên x nhỏ nhất, biết x > -39/13

ĐÁP ÁN

1.

Đề kiểm tra 15 phút Toán 6 - Đề số 2 -Mở rộng khái niệm phân số, phân số bằng nhau

2.

1 giờ = 60 phút. 

Vậy ta có phân số 15/60

3.

Ta có: -39/13 = -3.

Vậy số nguyên nhỏ nhất thỏa mãn x > -3 là x = -2

Trả lời

Email của bạn sẽ không được hiển thị công khai. Các trường bắt buộc được đánh dấu *