Nhắc lại và bổ sung các khái niệm về hàm số – Bồi dưỡng Đại số 9

Các khái niệm về hàm số

Kiến thức cần nhớ:

1. Nếu đại lượng y phụ thuộc vào đại lượng thay đổi X sao cho với mỗi giá trị của x ta luôn xác định được chỉ một giá trị số tương ứng của y thì y được gọi là hàm số của x, x được gọi là biến số.

Hàm số có thể được cho bằng bảng, cho bằng công thức,…

2. Cho hàm số y = f(x) xác định trên khoảng (a ; b).

Xét hai giá trị bất kì  x_{1} x_{2}  thuộc khoảng đó sao cho x_{1} < x_{2} .

–    Nếu f(x_{1} ) < f(x_{2} ) thì hàm số f đồng biến trên khoảng (a ; b).

–    Nếu f(x_{1} ) > f(x_{2} ) thì hàm số f nghịch biến trên khoảng (a ; b).

3.  Đồ thị của hàm số y = f(x) là tập hợp các điểm biểu diễn cặp số (x ; y) trên mặt phẳng toạ độ.

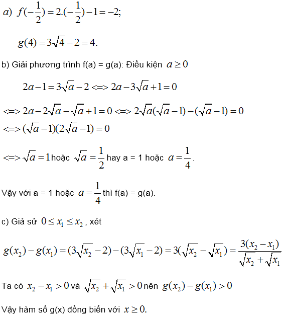
Ví dụ 12. Cho các hàm số :

f(x) = 2x – 1, g(x) = 3sqrt{x} – 2.

a)  Tính f(-frac{1}{2} ), g(4);

b) Tìm số a sao cho f(a) = g(a) ;

c)  Chứng minh rằng hàm số y = g(x) đồng biến với x ≥ 0.

Giải

BÀI TẬP

59. Cho các hàm số : f(x) = 6x^{2}  + 1 và g(x) = 5x.

a)  Tìm a sao cho f(a) = g(a).

b)  Chứng minh rằng f(x) = f(-x), g(x) = -g(-x).

60. Chứng minh rằng hàm số y = ax + b với a > 0 đồng biến trên tập hợp số thực R.

61. Cho hàm số y = 2x^{2}  – 8x + 1. Chứng minh rằng hàm số nghịch biến khi x < 2, đồng biến khi x > 2.

2 Comments

Add a Comment
  1. cho mình xin bộ tài liệu

Trả lời

Email của bạn sẽ không được hiển thị công khai. Các trường bắt buộc được đánh dấu *