Khai phương một thương
Chia hai căn thức bậc hai
Kiến thức cần nhớ

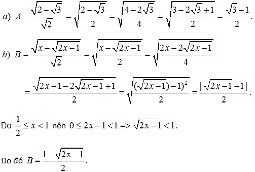
Ví dụ 6. Rút gọn các biểu thức:

Giải

Chú ý: Cũng có thể trình bày hai câu trên bằng cách nhân cả số bị chia và số chia với .
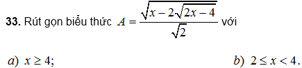
BÀI TẬP
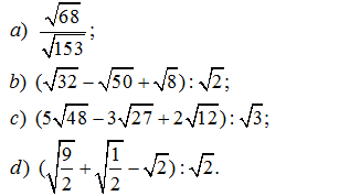
31. Tính giá trị của các biểu thức:

32. Rút gọn các biểu thức:


