Hàm số bậc nhất – Bồi dưỡng Đại số 9

 Hàm số bậc nhất Toán lớp 9

1. Định nghĩa

Hàm số bậc nhất là hàm số được cho bởi công thức y = ax + b, trong đó a, b là các số thực xác định và a ≠ 0.

2. Tính chất

a)  Hàm số xác định với mọi giá trị x thuộc R.

b)  Hàm số đồng biến nếu a > 0, nghịch biến nếu a < 0.

c)  Đồ thị của hàm số là một đường thẳng :

– Cắt trục tung tại điểm có tung độ bằng b ;

–  Cắt trục hoành tại điểm có hoành độ bằng  -frac{b}{a} .

Ví dụ 13.

a)  Xác định các hệ số a, b để đồ thị của hàm số y = ax + b cắt trục hoành
tại điểm A có hoành độ bằng -4 và cắt trục tung tại điểm B có tung độ bằng 3.

b)  Vẽ đồ thị của hàm số trên và tính khoảng cách OH từ gốc toạ độ O đến AB.

Giải

a) Đường thẳng y = ax + b cắt trục tung tại điểm có tung độ bằng 3 nên b = 3.

Đường thẳng y = ax + 3 đi qua điểm 3 A(-4 ; 0) nên 0 = a(-4) + 3, suy ra a =frac{3}{4} .

(Hình 1)

b) Đồ thị hàm số là hình 1.

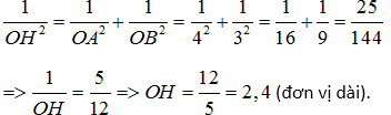
Cách 1.

Cách 2. Áp dụng hệ thức lượng trong tam giác vuông AOB ta có

                 

BÀI TẬP

62. Cho hàm số y = sqrt{3} x – 2.

a) Vẽ đồ thị của hàm số.

b) Gọi A và B là các giao điểm của đồ thị hàm số với trục hoành và trục tung. Tính độ dài đoạn thẳng AB.

63. Xác định hàm số y = -2x + b biết rằng đồ thị của nó đi qua điểm M(3 ; -5).

64. Xác định hệ số a để đường thẳng y = ax + 6 cắt trục hoành tại điểm có hoành độ bằng 2.

65. Vẽ trên cùng một hệ toạ độ đồ thị của các hàm số y = 2x – 1 và y = 2|x| -1.

66. Vẽ trên cùng một hệ toạ độ đồ thị của các hàm số y = x – 1 và y = |x – 1|.

67. Vẽ đồ thị của hàm số y = 2 – |x – 1|.

2 Comments

Add a Comment
  1. cho mình xin bộ tài liệu

Trả lời

Email của bạn sẽ không được hiển thị công khai. Các trường bắt buộc được đánh dấu *