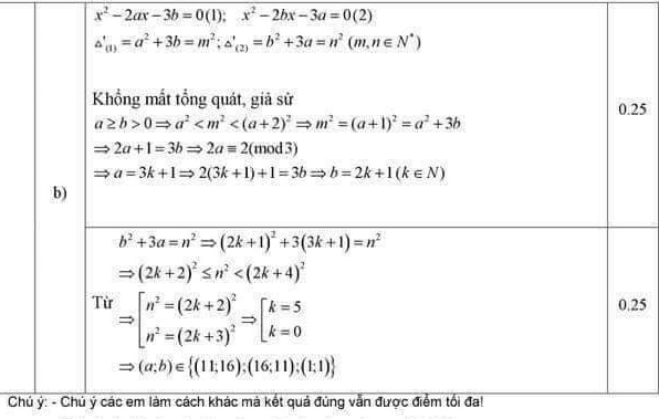
Đề thi vào 10 môn Toán tỉnh Bắc Ninh 2018 có đáp án Toán Cấp 2 02/06/2018 Đề thi, Đề thi Toán vào lớp 10 CommentsĐề thi vào lớp 10 môn Toán không chuyên Sở giáo dục và đào tạo tỉnh Bắc Ninh năm học 2018 -2019. Thời gian làm bài 120 phút, không kể thời gian giao đề. Có đáp án.Nội dung đề thi:Đề kiểm tra 15 phút – Đề 2 – Tính chất cơ bản của phân sốĐề kiểm tra 15 phút – Đề 1 – Tính chất cơ bản của phân sốĐề kiểm tra 15 phút Toán 6 – Đề số 8 – Mở rộng khái niệm phân số, phân số bằng nhauĐề kiểm tra 15 phút Toán 6 – Đề số 7 -Mở rộng khái niệm phân số, phân số bằng nhauĐề kiểm tra 15 phút Toán 6 – Đề số 6 – Mở rộng khái niệm phân số, phân số bằng nhauĐáp án và biểu điểm:Bài viết liên quanĐề thi Toán vào 10 THPT chuyên Khánh Hòa 2012-2013 có đáp ánĐề kiểm tra định kì lần 1 Toán 9 tỉnh Bắc Ninh 2019-2020 có đáp ánĐề thi HSG môn Toán lớp 9 tỉnh Bắc Ninh 2018-2019Đề thi vào 10 môn Toán tỉnh Bình Thuận 2017-2018Đề thi vào 10 môn Toán tỉnh Nam Định năm 2019-2020 có đáp án← Bài trước đóBài tiếp theo →Trả lời HủyEmail của bạn sẽ không được hiển thị công khai. Các trường bắt buộc được đánh dấu *Bình luậnTên * Email * Trang web