Đề thi Toán vào lớp 10 trường trung học phổ thông chuyên Khoa học tự nhiên năm 2018. Đại học quốc gia Hà Nội, trường Đại học khoa học tự nhiên. Có lời giải.
Dùng cho tất cả các thí sinh. Thời gian làm bài 120 phút. Đề chính thức.
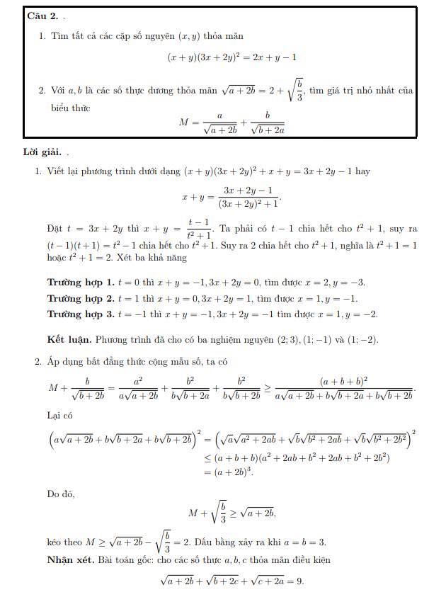
Nội dung đề thi:

Lời giải đề thi:




