Đề kiểm tra HK1 môn Toán 7 THCS Nguyễn Du 2017-2018 có đáp án

Đề kiểm tra học kì 1 môn Toán lớp 7 trường THCS Nguyễn Du năm học 2017-2018. Có đáp án.

Thời gian làm bài: 90 phút (không kể thời gian phát đề)

Đề kiểm tra HK1 môn Toán 7 THCS Nguyễn Du 2017-2018 có đáp án

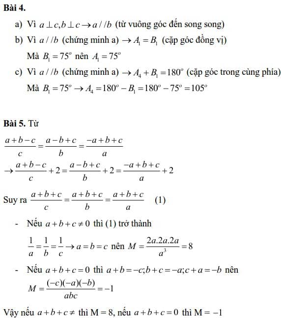
Đáp án Đề kiểm tra HK1 môn Toán 7 THCS Nguyễn Du 2017-2018

Đề kiểm tra HK1 môn Toán 7 THCS Nguyễn Du 2017-2018 có đáp án-1

Đề kiểm tra HK1 môn Toán 7 THCS Nguyễn Du 2017-2018 có đáp án-2

6 Comments

Add a Comment
  1. Nguyễn Phương Tuyết

    Bài 5 câu c làm sao ạ

  2. em tham gia nhóm facebook Giải toán cấp 2: https://www.facebook.com/groups/2158306784220150 rồi chụp ảnh bài cần giải để mọi người hỗ trợ nhé.

  3. cau c bai 5 a

  4. Có lời giải k ạk

    1. không có giải. Các em tự giải đề, có câu nào khó không làm được thì hỏi nhé.

Trả lời

Email của bạn sẽ không được hiển thị công khai. Các trường bắt buộc được đánh dấu *