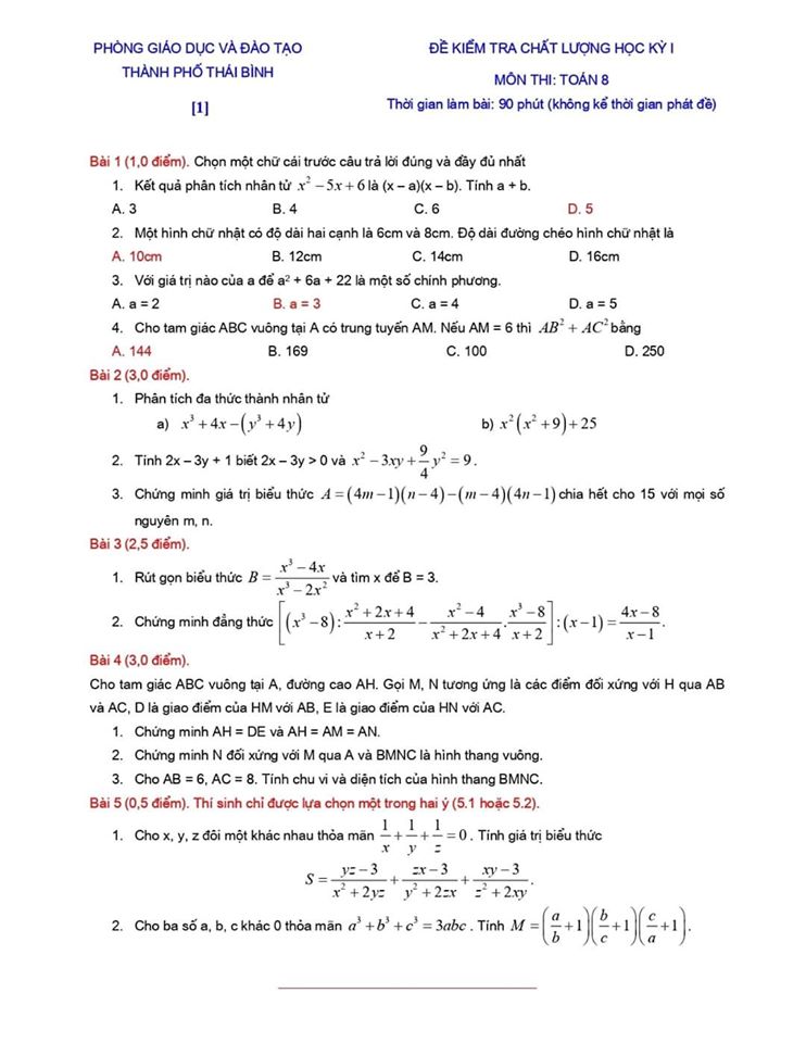
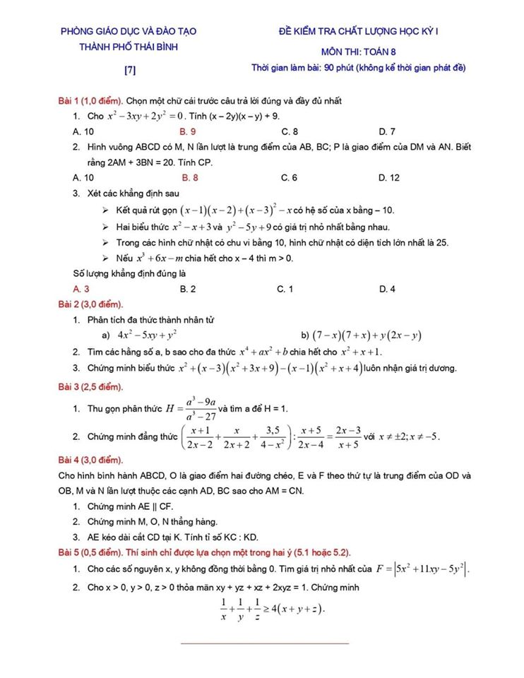
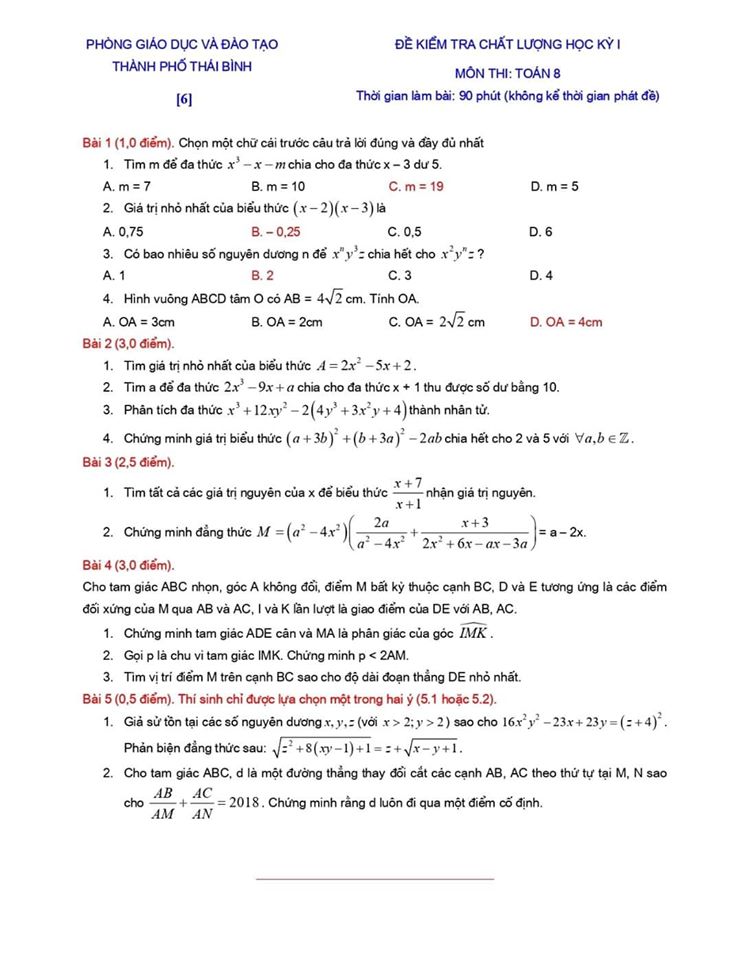
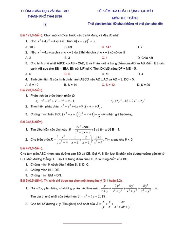
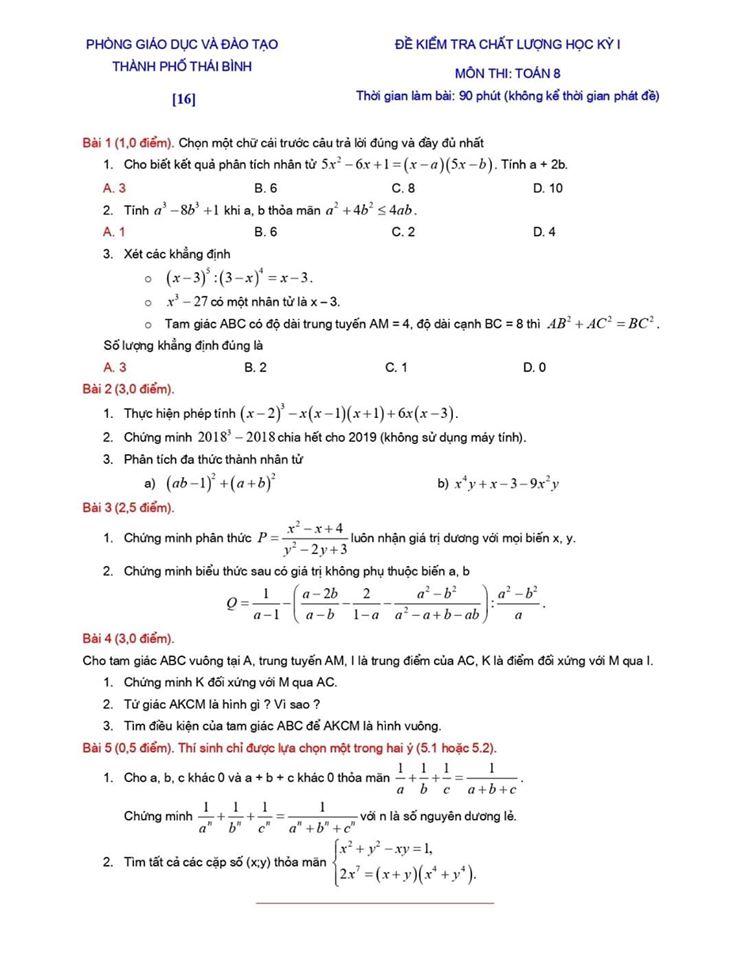
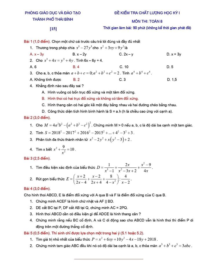
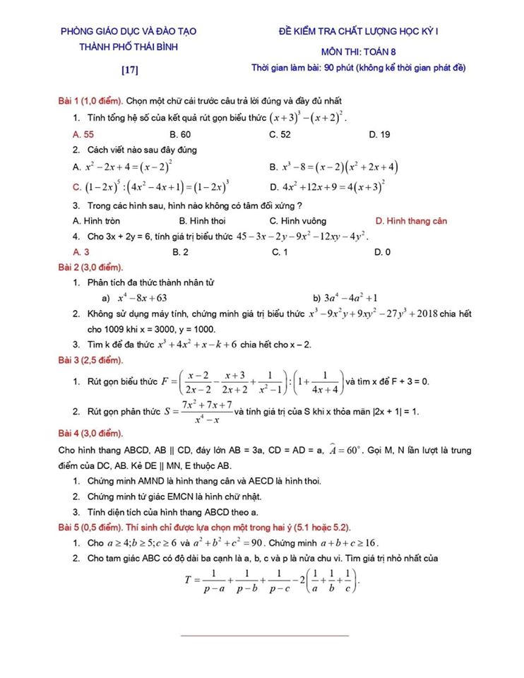
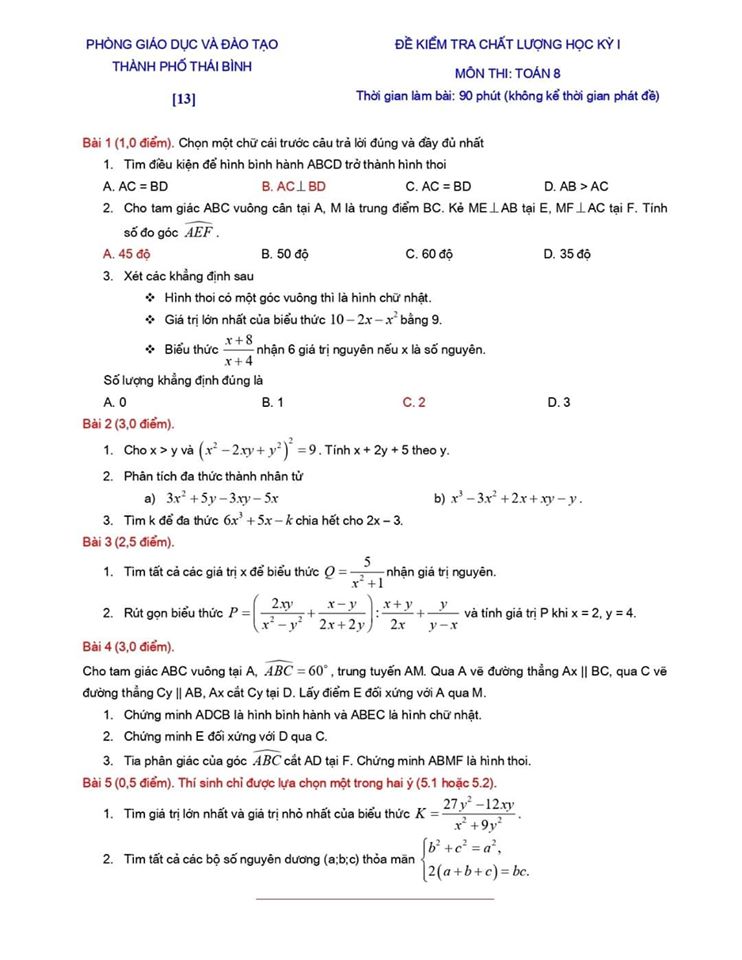
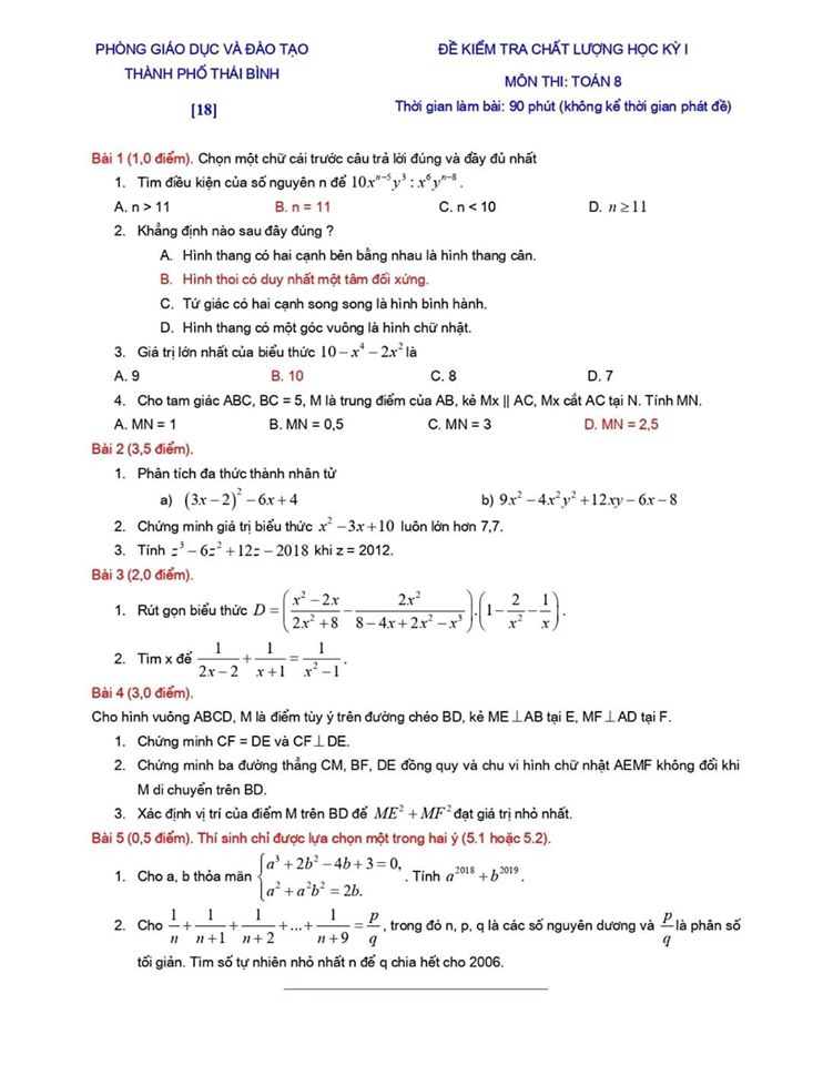
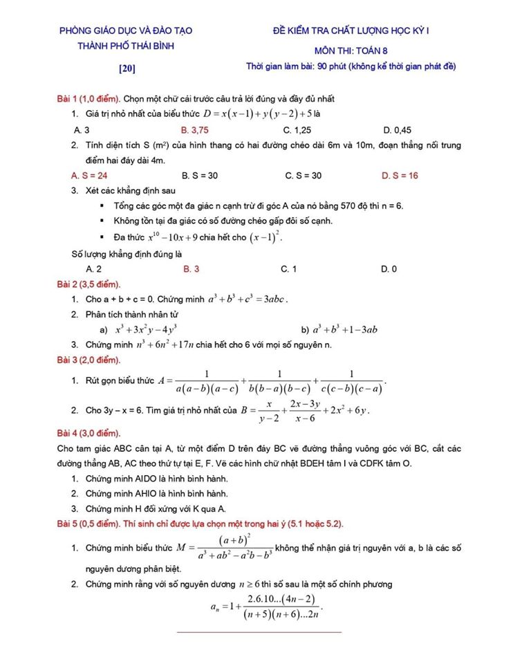
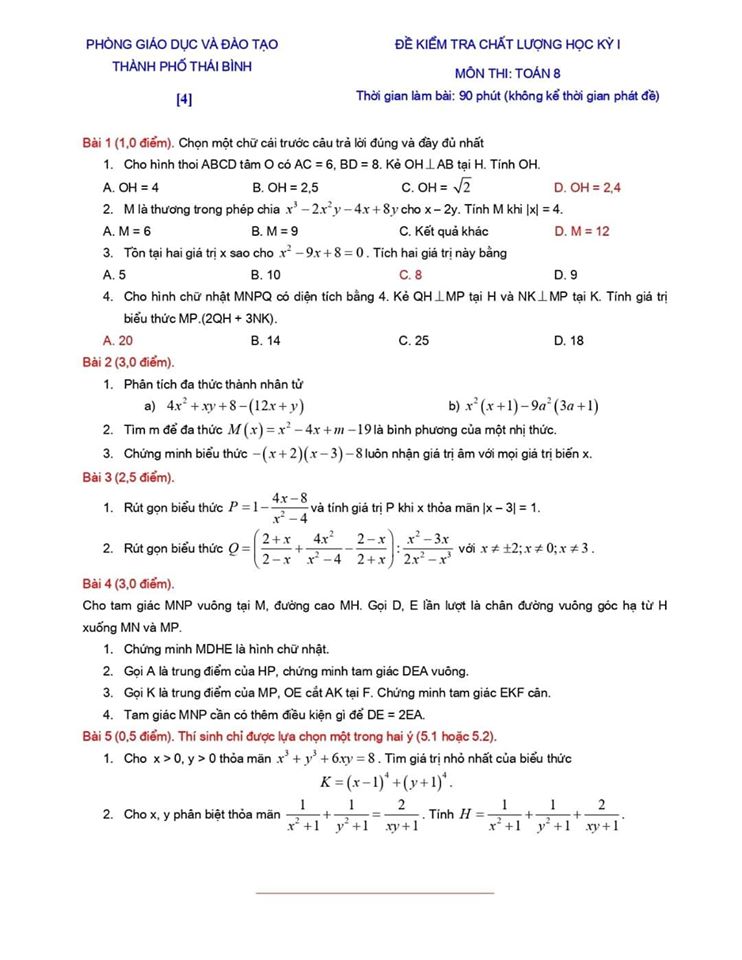
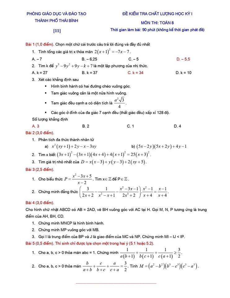
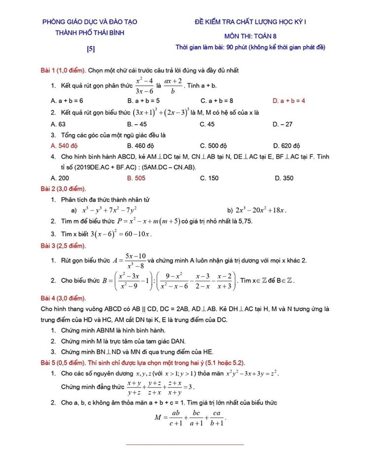
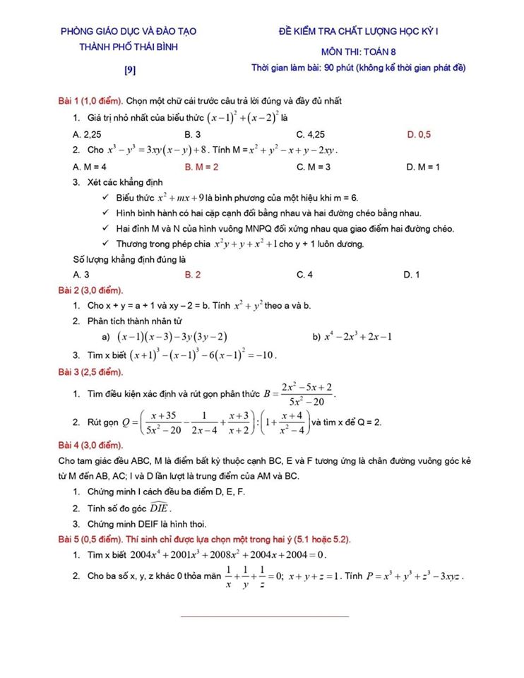
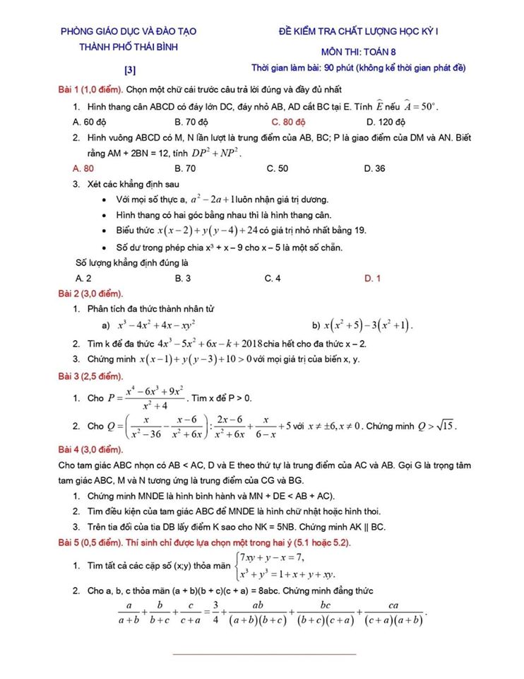
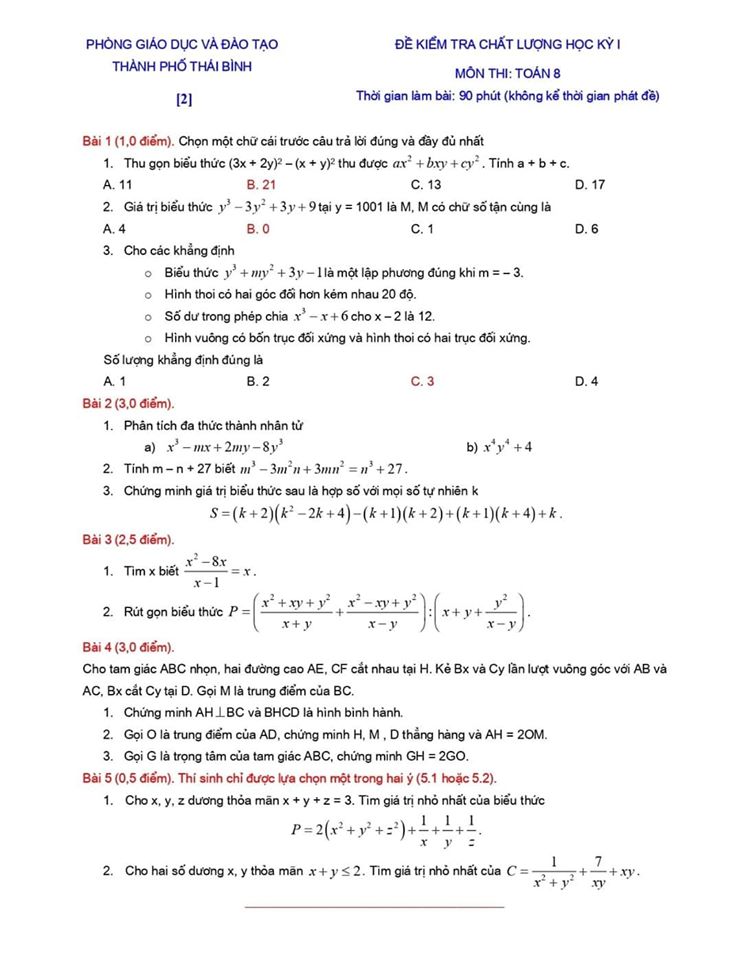
Đề kiểm tra chất lượng HK1 môn Toán 8 TP Thái Bình 2019-2020 Toán Cấp 2 11/12/2019 Đề kiểm tra, đề thi Toán 8, Đề thi CommentsĐề kiểm tra chất lượng học kì 1 môn Toán lớp 8, thành phố Thái Bình năm học 2019-2020. Thời gian làm bài 90 phút.Đề kiểm tra 15 phút – Đề 2 – Tính chất cơ bản của phân sốĐề kiểm tra 15 phút – Đề 1 – Tính chất cơ bản của phân sốĐề kiểm tra 15 phút Toán 6 – Đề số 8 – Mở rộng khái niệm phân số, phân số bằng nhauĐề kiểm tra 15 phút Toán 6 – Đề số 7 -Mở rộng khái niệm phân số, phân số bằng nhauĐề kiểm tra 15 phút Toán 6 – Đề số 6 – Mở rộng khái niệm phân số, phân số bằng nhauBài viết liên quanĐề kiểm tra HK1 môn Toán 9 huyện Gia Lâm 2019-2020Đề kiểm tra HK1 môn Toán 9 TP Đà Nẵng 2019-2020 có đáp ánĐề kiểm tra HK1 môn Toán 9 tỉnh Lạng Sơn 2019-2020Đề khảo sát chất lượng HK1 môn Toán 8 TP Thái Bình 2019-2020Đề khảo sát chất lượng HK1 môn Toán 7 TP Thái Bình 2019-2020← Bài trước đóBài tiếp theo →Trả lời HủyEmail của bạn sẽ không được hiển thị công khai. Các trường bắt buộc được đánh dấu *Bình luậnTên * Email * Trang web