Đề cương ôn tập học kì 1 môn Toán lớp 6 trường THCS Nguyễn Phong Sắc, quận Hai Bà Trưng, TP Hà Nội, năm học 2018-2019. Đề cương gồm 2 phần Đại số và Hình học.
Có lý thuyết và bài tập trắc nghiệm.
Mục lục
A. LÍ THUYẾT
I. ĐẠI SỐ
1. Nêu các công thức tính lũy thừa?
2. Thế nào là giá trị tuyệt đối của số hữu tỉ? VD?
3. Tỷ lệ thức là gì? Nêu và viết công thức tính chất của tỷ lệ thức?
4. Thế nào là căn bậc hai của 1 số không âm? VD?
5. Nêu tính chất dãy tỉ số bằng nhau? VD?
6. Khi nào thì hai đại lượng y và x tỉ lệ thuận với nhau? VD?
7. Nêu các tính chất của hai đại lượng tỉ lệ thuận
8. Khi nào thì hai đại lượng y và x tỉ lệ nghịch với nhau? VD
9. Nêu các tính chất của hai đại lượng tỉ lệ nghịch.
II. HÌNH HỌC
1. Thế nào là 2 góc đối đỉnh? Nêu tính chất hai góc đối đỉnh?
2. Thế nào là trung trực của 1 đoạn thẳng? Vẽ hình minh họa?
3. Nêu dấu hiệu nhận biết hai đường thẳng song song?
4. Phát biểu định lý về quan hệ vuông góc và song song?
5. Phát biểu tiên đề Ơ clit
6. Phát biểu định lí về tổng 3 góc của một tam giác, tính chất góc ngoài của tam giác
7. Phát biểu 3 trường hợp bằng nhau của 2 tam giác
B. BÀI TẬP
TRẮC NGHIỆM



Dạng 1: Thực hiện phép tính

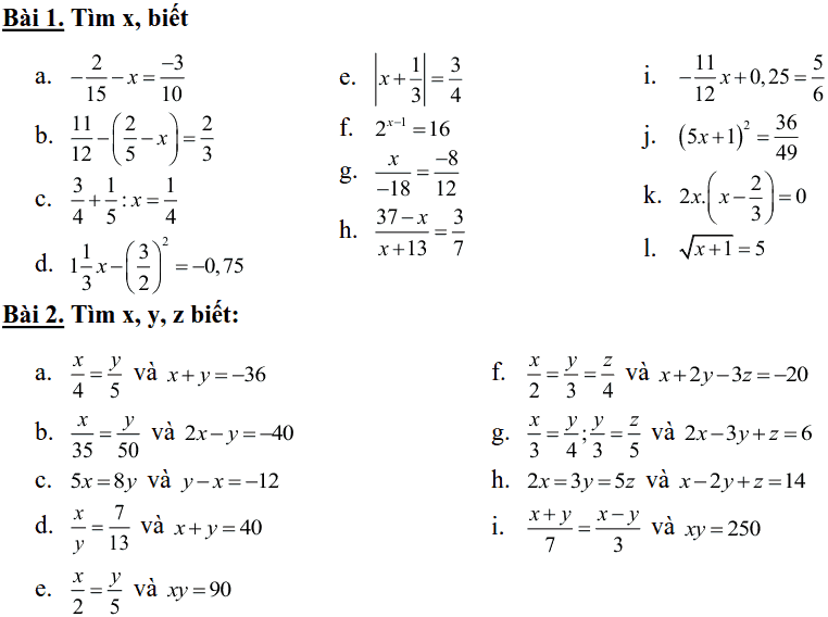
Dạng 2: Tìm X

Dạng 3: TOÁN ĐỐ
Bài 1. Một hình chữ nhật có chu vi 40m. Tính độ dài mỗi cạnh biết chúng tỉ lệ với 2 và 3
Bài 2. Tam giác ABC có số đo các góc A, B, C tỉ lệ với 3; 5; 7. Tính số đo góc A.
Bài 3. Ba đội công nhân được thưởng 19 triệu đồng. Tiền thưởng các đội tỉ lệ với số công nhân mỗi đội. Biết tỉ số công nhân của đội 1 và đội 2 là 4:3, của đội 2 và 3 là 6:5. Tính số tiền mỗi đội nhận về.
Bài 4. Ba lớp 7 có 153 học sinh. Số học sinh lớp 7B bằng 8/9 số học sinh lớp 7A, số học sinh lớp 7C bằng 17/16 số học sinh lớp 7B. Tính số học sinh mỗi lớp
Bài 5. Một hình chữ nhật có diện tích là 60cm2 và hai cạnh tỉ lệ với 3 và 5. Tính chu vi của hình chữ nhật đó.
Bài 6. Trong đợt quyên góp tiền ủng hộ người nghèo, số tiền lớp 7A và lớp 7C tỉ lệ với 2:3. Tỉ số giữa số tiền lớp 7B và lớp 7C là 0,8. Tính số tiền mỗi lớp ủng hộ biết lớp 7C ủng hộ nhiều hơn là 35000 đồng.
Bài 7. Học sinh ba lớp 7 phải trồng và chăm sóc 24 cây xanh, lớp 7A có 32 học sinh, lớp 7B có 28 học sinh, lớp 7C có 36 học sinh. Hỏi mỗi lớp phải trồng và chăm sóc bao nhiêu cây xanh, biết số cây tỉ lệ với số học sinh.
Bài 8. Hưởng ứng đợt kể chuyện về tấm gương đạo đức của Bác Hồ, ba chi đội 7A, 7B, 7C có tất cả 18 đội viên tham gia dự thi, biết rằng số đội viên của ba chi đội lần lượt tỉ lệ với 2; 3; 4. Hãy tính số đội viên dự thi của mỗi chi đội?
II. HÌNH HỌC


Nâng cao


Bài 13 ai biết làm ko?