Căn bậc hai
Kiến thức cần nhớ
1. Căn bậc hai của số thực a là số x sao cho = a.
2. Cho số thực a không âm. Căn bậc hai số học của a (kí hiệu ) là một số x không âm mà bình phương của nó bằng a :

3. Với a, b là các số dương, ta có
a) Nếu a < b thì <
;
b) Nếu <
thì a < b.
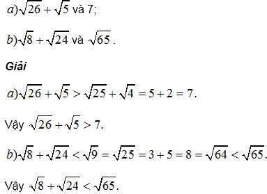
Ví dụ 1. So sánh :

Ví dụ 2. Cho số a không âm.
a) Có thể khẳng định rằng ≤ a với mọi a hay không ?
b) Với các giá trị nào của a thì > a?
Giải

BÀI TẬP
1. Các biểu thức sau có thể nhận giá trị âm được không, có thể bằng 0 được không ?

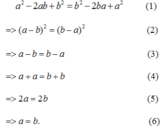
2. Tìm chỗ sai trong bài toán ngụỵ biện sau :

Vậy bất kì hai số nào cũng bằng nhau (!).
3. Cho x + y = 1. Tìm giá trị nhỏ nhất của biểu thức A = +
.
4. Tìm giá trị của x sao cho :
a) |x – 3| = |x + 5| ; b) x(x – 3) ≥ 3(x – 3);
c) ≤ 4 ; d)
≥ 4.
5. Tìm liên hệ giữa các số a và b biết rằng |a + b| > |a – b|.
6. a) Chứng min h bất đẳng thức ≥ 4a.
b) Cho các số dương a, b, c có tích bằng 1. Chứng minh rằng
(a + 1)(b + 1)(c + 1) ≥ 8.
7. Số nào lớn hơn :
![]()
8. Cho x ≥ 0. Tìm các giá trị của x sao cho :
a) ≥ x ; b)
< x ; c)
≤ x.
9. Cho hai số không âm a và b. Ta gọi trung bình nhân của hai số a và b là
. Chứng minh rằng trung bình cộng của hai số a và b không nhỏ hơn trung bình nhân của chúng (bất đẳng thức Cô-si).
10. Cho các số a, b, c không âm. Chứng minh bất đẳng thức :
a + b + c ≥ +
+
.
11. Tìm giá trị nhỏ nhất của biểu thức : A = – 6
+ 10.
12. Cho biểu thức A = x – 2.
a) Đặt y = . Hãy biểu thị A theo y.
b) Tìm giá trị nhỏ nhất của A.
