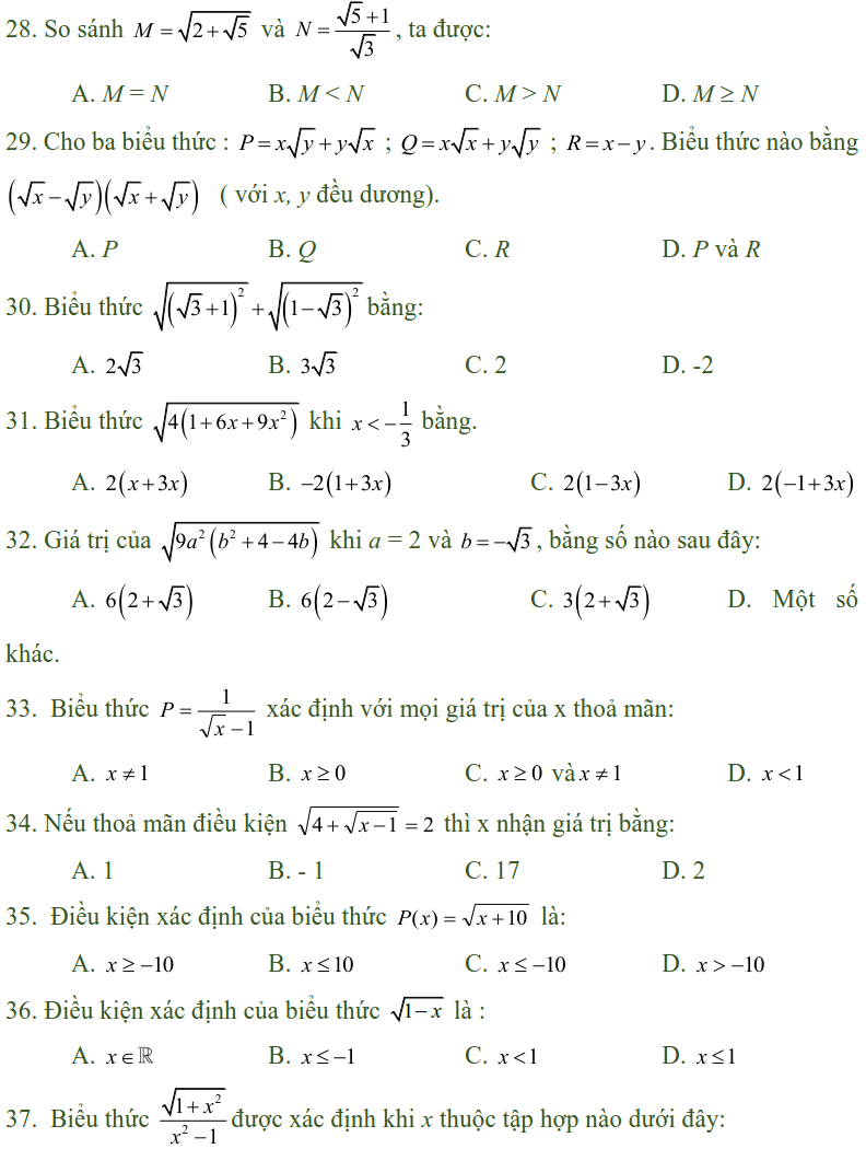
Bài tập trắc nghiệm điều kiện xác định của biểu thức, căn thức – Toán lớp 9 Toán Cấp 2 23/10/2019 Bồi dưỡng Toán 9, Đại số 9, Toán 9 CommentsToán cấp 2 chia sẻ với các em lớp 9 các bài tập trắc nghiệm điều kiện xác định của biểu thức, căn thức.Ôn tập cuối năm – Bồi dưỡng Đại số 9Giải phương trình bậc hai bằng đồ thị. Vị trí tương đối giữa parabol $y=ax^2$ và đường thẳng y=mx+nGiải bài toán bằng cách lập phương trình – Bồi dưỡng Đại số 9Phương trình quy về phương trình bậc hai – Bồi dưỡng Đại số 9Phương trình bậc hai một ẩn – Bồi dưỡng Đại số 9Bài viết liên quanFull trắc nghiệm Đại số chương 1 – Toán 9 năm 2017-2018Sách Bài tập trắc nghiệm Toán 9 – tập 1, tập 2← Bài trước đóBài tiếp theo →Trả lời HủyEmail của bạn sẽ không được hiển thị công khai. Các trường bắt buộc được đánh dấu *Bình luậnTên * Email * Trang web